2026高考北京卷数学真题_附答案
小编带来了2026高考北京卷数学真题附答案,大家知道吗?数学其英语源自于古希腊语,有学习,学问和科学的意思。下面是小编为大家整理的2026高考北京卷数学真题附答案,希望能帮助到大家!
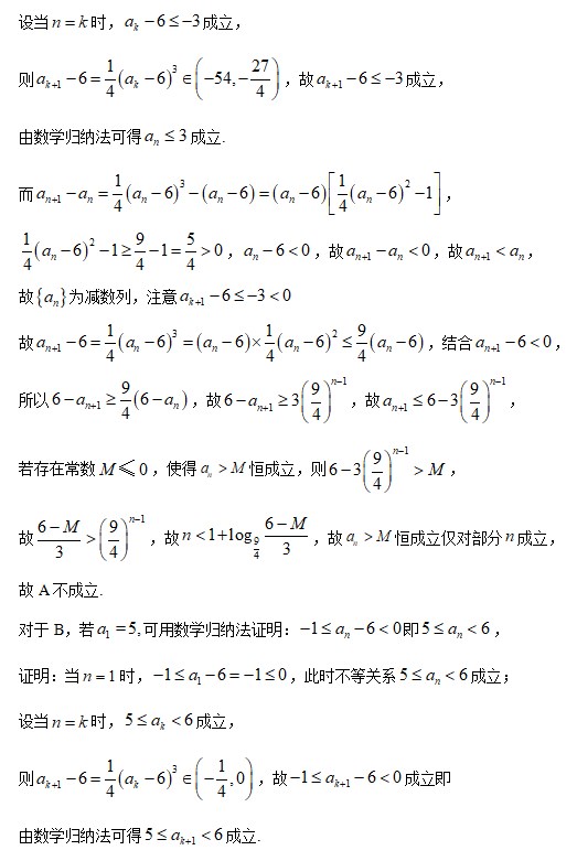
2026高考北京卷数学真题附答案



































高三数学怎么复习
一、认真学《考试说明》,从参试题中寻找启示
高考试题体现能力的同时更加人性化,解答题起点低,入口容易,不同层次的学生都能得到一定的分数。由此可见,强调三基,突出三基,考查三基已成为命题的主旋律。
二、重视课本,把基础落到实处
尽管当前高考数学试卷不再刻意追求知识点的覆盖面,但凡是《考试说明》中规定的知识点,在复习时不能遗漏,并且要突出重点。回到基础中去,对课本中的概念、法则、性质、定理等进行梳理,要理清知识发生的本原,考生要注意从学科整体意义上建构知识网络,形成完整的知识体系,掌握知识之间内在联系与规律。重点放在掌握例题涵盖的
