2026广西高考数学试卷及答案(文科)_超详解析
小编整理了2026广西高考数学试卷及答案(文科),数学起源于人类早期的生产活动,古巴比伦人从远古时代开始已经积累了一定的数学知识,并能应用实际问题。下面是小编为大家整理的2026广西高考数学试卷及答案(文科),希望能帮助到大家!
2026广西高考数学试卷及答案(文科)





















高中数学重要知识点归纳
1、求函数的单调性:
利用导数求函数单调性的基本方法:设函数yf(x)在区间(a,b)内可导,(1)如果恒f(x)0,则函数yf(x)在区间(a,b)上为增函数;(2)如果恒f(x)0,则函数yf(x)在区间(a,b)上为减函数;(3)如果恒f(x)0,则函数yf(x)在区间(a,b)上为常数函数。
利用导数求函数单调性的基本步骤:①求函数yf(x)的定义域;②求导数f(x);③解不等式f(x)0,解集在定义域内的不间断区间为增区间;④解不等式f(x)0,解集在定义域内的不间断区间为减区间。
反过来,也可以利用导数由函数的单调性解决相关问题(如确定参数的取值范围):设函数yf(x)在区间(a,b)内可导,
(1)如果函数yf(x)在区间(a,b)上为增函数,则f(x)0(其中使f(x)0的x值不构成区间);
(2)如果函数yf(x)在区间(a,b)上为减函数,则f(x)0(其中使f(x)0的x值不构成区间);
(3)如果函数yf(x)在区间(a,b)上为常数函数,则f(x)0恒成立。
2、求函数的极值:
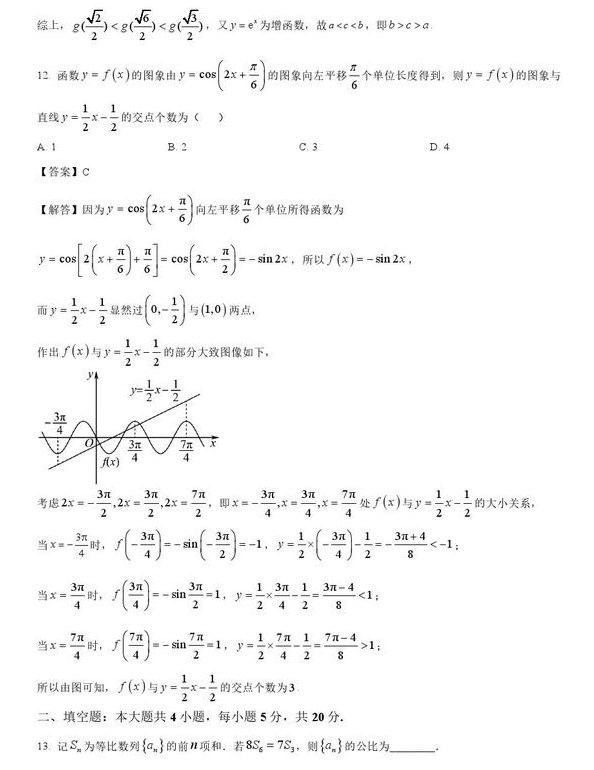
设函数yf(x)在x0及其附近有定义,如果对x0附近的所有的点都有f(x)f(x0)(或f(x)f(x0)),则称f(x0)是函数f(x)的极小值(或极大值)。
可导函数的极值,可通过研究函数的单调性求得,基本步骤是:
(1)确定函数f(x)的定义域;(2)求导数f(x);(3)求方程f(x)0的全部实根,x1x2xn,顺次将定义域分成若干个小区间,并列表:x变化时,f(x)和f(x)值的变化情况:
(4)检查f(x)的符号并由表格判断极值。
3、求函数的值与最小值:
如果函数f(x)在定义域I内存在x0,使得对任意的xI,总有f(x)f(x0),则称f(x0)为函数在定义域上的值。函数在定义域内的极值不一定,但在定义域内的最值是的。
求函数f(x)在区间[a,b]上的值和最小值的步骤:(1)求f(x)在区间(a,b)上的极值;
(2)将第一步中求得的极值与f(a),f(b)比较,得到f(x)在区间[a,b]上的值与最小值。
4、解决不等式的有关问题:
(1)不等式恒成立问题(绝对不等式问题)可考虑值域。
f(x)(xA)的值域是[a,b]时,
不等式f(x)0恒成立的充要条件是f(x)max0,即b0;
不等式f(x)0恒成立的充要条件是f(x)min0,即a0。
f(x)(xA)的值域是(a,b)时,
不等式f(x)0恒成立的充要条件是b0;不等式f(x)0恒成立的充要条件是a0。
