2026年新高考全国一卷数学试题及答案(完整)
数学题型一般都是有章可循的,每年高考所考的知识点大概就这么多,如果经常做一些高考数学试卷,对于数学成绩的提高也是有一定的帮助。下面是小编为大家整理的2026年新高考全国一卷数学试题及答案,希望对您有所帮助!
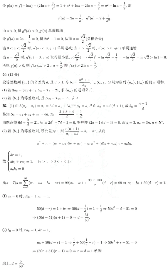
2026年新高考全国一卷数学试题




2026年新高考全国一卷数学答案










新高考数学试卷结构
第一大题,单项选择题,共8小题,每小题5分,共40分;
第二大题,多项选择题,共4小题,每小题5分,部分选对得3分,有选错得0分,共20分;
第三大题,填空题,共4小题,每小题5分,共20分;
第四大题,解答题,共6小题,均为必考题,涉及的内容是高中数学的六大主干知识:三角函数,数列,统计与概率,立体几何,函数与导数,解析几何。每小题12分,共60分。
高考数学六种解题技巧
一、三角函数题
注意归一公式、诱导公式的正确性(转化成同名同角三角函数时,套用归一公式、诱导公式(奇变、偶不变;符号看象限)时,很容易因为粗心,导致错误!一着不慎,满盘皆输!)。
二、数列题
1、证明一个数列是等差(等比)数列时,最后下结论时要写上以谁为首项,谁为公差(公比)的等差(等比)数列;
2、最后一问证明不等式成立时,如果一端是常数,另一端是含有n的式子时,一般考虑用放缩法;如果两端都是含n的式子,一般考虑数学归纳法(用数学归纳法时,当n=k+1时,一定利用上n=k时的假设,否则不正确。利用上假设后,如何把当前的式子转化到目标式子,一般进行适当的放缩,这一点是有难度的。简洁的方法是,用当前的式子减去目标式子,看符号,得到目标式子,下结论时一定写上综上:由①②得证;
3、证明不等式时,有时构造函数,利用函数单调性很简单(所以要有构造函数的意识)。
三、立体几何题
1、证明线面位置关系,一般不需要去建系,更简单;
2、求异面直线所成的角、线面角、二面角、存在性问题、几何体的高、表面积、体积等问题时,最好要建系;
3、注意向量所成的角的余弦值(范围)与所求角的余弦值(范围)的关系(符号问题、钝角、锐角问题)。
四、概率问题
1、搞清随机试验包含的所有基本事件和所求事件包含的基本事件的个数;
2、搞清是什么概率模型,套用哪个公式;
3、记准均值、方差、标准差公式;
4、求概率时,正难则反(根据p1+p2+...+pn=1);
5、注意计数时利用列举、树图等基本方法;
6、注意放回抽样,不放回抽样;
7、注意“零散的”的知识点(茎叶图,频率分布直方图、分层抽样等)在大题中的渗透;
8、注意条件概率公式;
9、注意平均分组、不完全平均分组问题。
五、圆锥曲线问题
1、注意求轨迹方程时,从三种曲线(椭圆、双曲线、抛物线)着想,椭圆考得最多,方法上有直接法、定义法、交轨法、参数法、待定系数法;
2、注意直线的设法(法1分有斜率,没斜率;法2设x=my+b(斜率不为零时),知道弦中点时,往往用点差法);注意判别式;注意韦达定理;注意弦长公式;注意自变量的取值范围等等;
3、战术上整体思路要保7分,争9分,想12分。
六、导数、极值、最值、不等式恒成立(或逆用求参)问题
