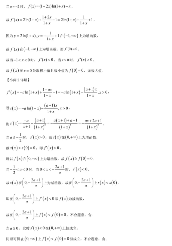
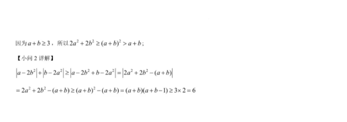
陕西2026年高考理科数学真题试卷已经初步公布了,既然这样,那么你知道2026年陕西高考数学考了什么吗?下面小编给大家带来陕西2026年高考理科数学真题试卷,供大家参考!

























1、函数与导数
主要考查数学集合运算、函数的有关概念定义域、值域、解析式、函数的极限、连续、导数。
2、平面向量与三角函数、三角变换及其应用
这一部分是高考的重点但不是难点,主要出一些数学基础题或中档题。
3、数列及其应用
这部分是高考的重点而且是难点,主要出一些综合题。
4、不等式
主要考查数学不等式的求解和证明,而且很少单独考查,主要是在解答题中比较大小。是高考的重点和难点。
5、概率和统计
这部分和我们的生活联系比较大,属数学应用题。
6、空间位置关系的定性与定量分析
主要是证明平行或垂直,求角和距离。主要考察对定理的熟悉程度、运用程度。
7、解析几何
高考的难点,运算量大,一般含参数。
高考对数学基础知识的考查,既全面又突出重点,扎实的数学基础是成功解题的关键。
