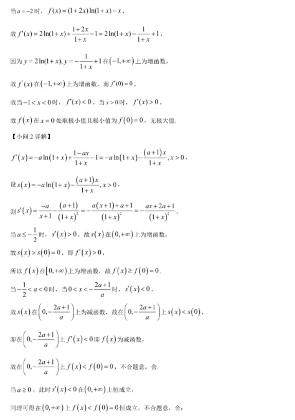
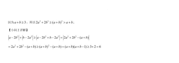
2026全国甲卷高考数学真题及答案已经出来了,那么你知道今年全国甲卷数学考了什么吗?是理科数学喔!下面小编给大家带来2026全国甲卷高考数学真题及答案,供大家参考!

























一、选择题和填空题
拿出40分钟左右完成选择填空的内容,做新高考数学选择题和填空题时,每道题的答题时间平均为3分钟左右,前面容易的题争取1分钟内出答案。因为基本没有时间回头检查,要力求将试题一次搞定。
二、解答题
做新高考数学大题时,基础题型每道题的答题时间平均为10分钟左右。基础不同的学生对试题难易的感受不一样,基础扎实的学生如果在前面数学答题比较顺利,时间充裕,可以冲击最后几道大题。
三、突发状况
很多同学会因为高考时紧张的原因,会出现短暂的大脑一片空白的现象,发现很简单的数学题目,自己却解不了就会更紧张,然后陷入紧张-解不出题目-更紧张的死循环里。
这个时候,你应该放下手里解答了很久的题目,继续进行下一题,千万不能有“这类题平时都是送分题,我一定要把它算出来”的想法,从而耽误了数学答题宝贵的时间。
