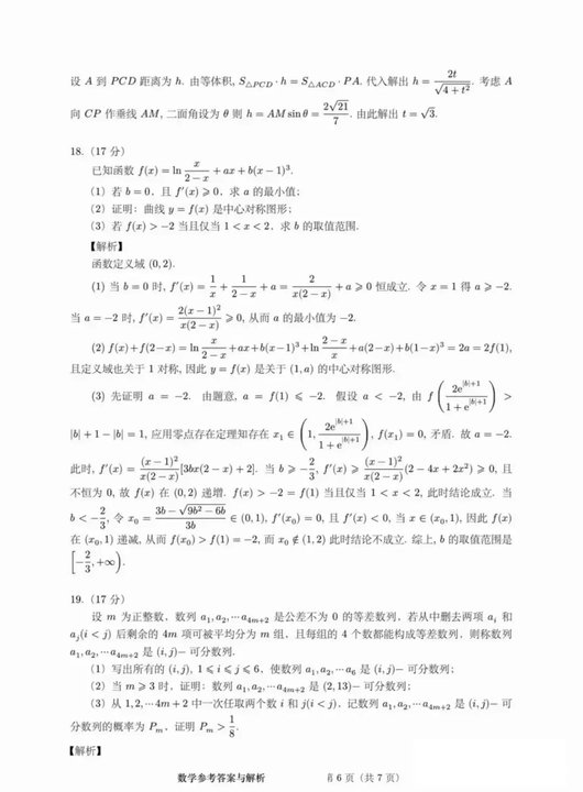
数学高考真题是由一群专家级命题人花费大半年的时间,封闭式制作而成,具有极高的高考复习价值。下面给大家分享一些关于2026新高考(新课标)I卷数学真题(附答案参考),希望能够对大家的需要带来力所能及的有效帮助。











数学文化题别慌张
如果大家有去关注过每年高考数学考完上热搜的词条,会发现除了吐槽考试难度,哪个地方卷子难上天际,数学文化题都会上热搜,从蒙娜丽莎的微笑到胡夫金字塔等。
本身题目不难,静下心来都能搞定,考场上容易视觉冲击而慌神,建议不要把它看的太重,删掉文字描述,抽离数学模型。同时考前就建立心理预期,对这道题有提前防备。
靠前题卡壳跳过去
在很多人的想法中,靠前的选填我是不应该卡壳的(比如新高考单选第6题,多选第10题,老高考单选7&8等),一旦这种平时十拿九稳的题卡壳就容易陷入负面情绪。
建议给予一定时间(比如2分钟)看能不能搞定,不能就跳过去,这个时候一定要从这道题的思维中跳出来,但跳过去不要去做下一道更难的题,可以跳到后面简单的填空(如第13&14)或者简单的大题(如第17),通过快速搞定题目获得成就感重拾信心,再往后面做,最后做完选填以后再倒回来看前面那个卡壳的题。
玄学地方多关注
不知道各位同学有没有这种感觉,就是每次考试总会在某些地方犯错,大考小考模考联考各种考,错误率很高,或者每次碰到都会错,比如法向量经常算错,导致立体几何第二问直接没分。
那么给这些地方多一点关注,检查的时候重点去看。
