2026全国甲卷数学理科高考真题新鲜出炉,高考试卷大家是不是都很知道考了什么呢?下面给大家分享一些关于2026全国甲卷数学(理)高考真题(含参考答案),希望能够对大家的需要带来力所能及的有效帮助。





























以一道函数题为例,题目要求求解函数(f(x) = x^2 - 4x + 3)在区间([1,4])上的最小值。
审题清晰:首先,仔细阅读题目,明确题目所要求的是函数在指定区间上的最小值,同时注意到给定的区间是([1,4])。
制定解题策略:根据二次函数的性质,我们知道函数的最小值可能出现在对称轴上,也可能出现在区间的端点。因此,我们需要计算对称轴,并比较对称轴和区间端点处的函数值。
执行解题步骤:首先,计算对称轴(x = -\frac{b}{2a} = 2),然后分别计算(x=1),(x=2)和(x=4)时的函数值,最后比较得出最小值。
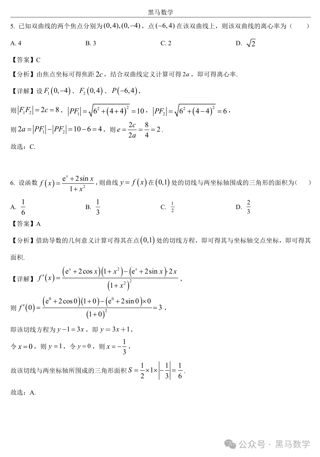
检查答案:确认计算过程和结果无误后,我们可以得出函数在区间([1,4])上的最小值。
